Metabolism
on-line - the virtual tutorial room
copyright © 2008 - 2014 David A Bender
Gout and hyperuricaemia - and anti-cancer drugs
There are links to a number of metabolic pathway diagrams in this exercise - in each case a .pdf file will open in a separate window - you may wish to print out the pathways, or just keep the Acrobat windows open to refer back to the diagrams.

Gout is an excruciatingly painful condition associated with the crystallisation of uric acid or its salts (urates) as gouty nodules (tophi) under the skin, in the synovial fluid of joints and in the renal tubules (nephrolithiasis). The condition is due to a concentration of uric acid in plasma greater than the limit of its solubility.
The micrographs on the right show uric acid crystals using polarised light.
Uric acid is the end-product of the metabolism of the purine bases adenine and guanine; gout may be due to either impairment uric acid excretion or over-production of uric acid, associated with increased purine synthesis.
Rarely, a high dietary intake of purines (i.e. foods especially rich in RNA and DNA) may also be associated with the development of gout because of the considerably increased burden of purines to be metabolised.
An adult consuming an average diet excretes between 1.5 - 4.5 mmol of uric acid /day.
There is a familial tendency to develop gout, and there are significant differences in its prevalence among different ethnic groups, suggesting that, at least in some cases, there is a genetic factor.
Gout is mainly a disease affecting adult men; it is rare in pre-menopausal women, although post-menopausally women are at equal risk of gout as are men of the same age. Premenopausally, women have lower plasma concentrations of uric acid than do men.
plasma uric acid, mmol /L |
% with hyperuricaemia |
|
| men | 0.21 - 0.43 |
5 |
| women | 0.16 - 0.36 |
0.5 |
Plasma uric acid is more or less completely filtered by the glomerulus, but 98% of the uric acid in the glomerular filtrate is reabsorbed in the renal tubules. More distally, there is active secretion of uric acid into the lumen of the tubules. Much of the actively secreted urate is also reabsorbed. A number of compounds inhibit the active secretion of uric acid into the renal tubule, including the antituberculosis drug pyrazinamide and organic acids such as lactic acid, acetoacetate and beta-hydroxybutyrate.
You saw in the exercise on A hypoglycaemic adolescent with an enlarged liver and gout that Adam had persistent lactic acidaemia as a result of his glycogen storage disease.
Can you account for his development of gout at an early age?
Lactic acid competes with uric acid for active secretion into the renal tubule, so he will excrete less and his plasma concentration will be very high.
Nichols
and coworkers (1973) determined the plasma concentration and urine excretion
of urate in a group of trans-sexual men before and after undergoing oestrogen
therapy. The results are shown below.
[From data reported by Nicholls A, Snaith ML & Scott JT. Effect of oestrogen therapy on plasma and urinary levels of uric acid. British Medical Journal (i) 449-451 1973.]
Can you account for the gender difference in the incidence of gout?
Can you account for the increased incidence of gout in post-menopausal women?
These results suggest that, directly or indirectly, oestrogens increase the urinary excretion of uric acid. This means that premenopausally, women will have greater excretion of uric acid and be less at risk of developing gout than will men. However, post-menopausally, when oestrogen secretion falls, they will be at the same risk as men.
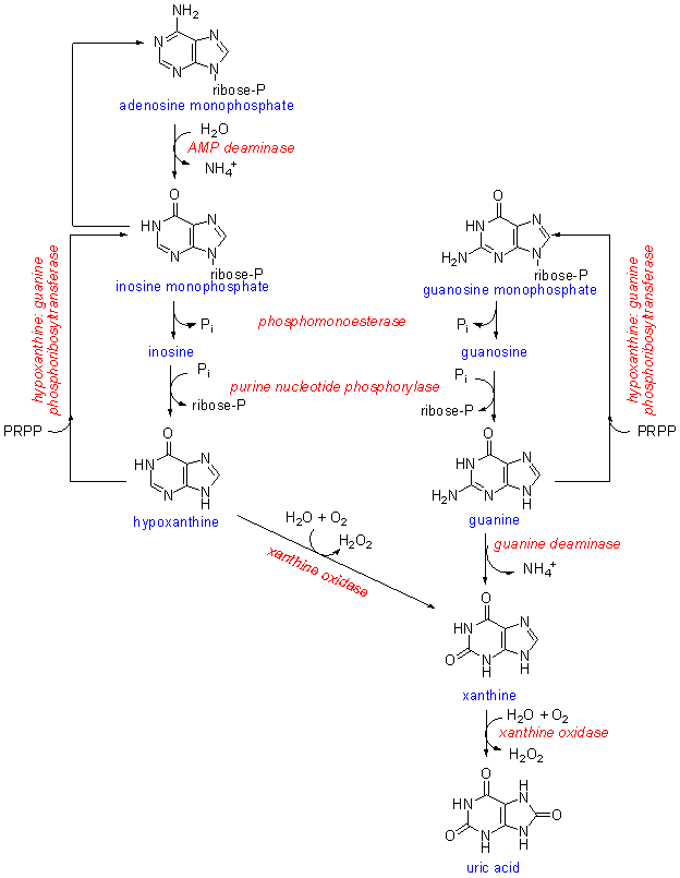
Click here to see the pathway for uric acid synthesis from AMP and GMP.
Note that there is continual catabolism of AMP and GMP, and continual salvage of the resultant hypoxanthine (back to AMP) and guanine (back to GMP). This is important for the regulation of intracellular concentrations of purine nucleotides and to maintain the appropriate balance between adenine and guanine nucleotides.
The problem of gout is mainly the very low solubility of uric acid and its salts (urates). The table below shows the solubility of purines and their metabolites
solubility (mmol /L) |
|
| uric acid (in acidic urine) | 0.026 |
| sodium urate (in plasma) | 0.45 |
| adenine | 6.6 |
| guanine | 0.26 |
| xanthine | 3.3 |
| hypoxanthine | 5.1 |
Regardless of the underlying biochemical cause of gout, the same method of
treatment is effective: inhibition of the enzyme xanthine oxidase, most commonly
with allopurinol.
Allopurinol is a substrate for xanthine oxidase, and competes with hypoxanthine and xanthine; its product, oxypurinol, is also an inhibitor of xanthine oxidase
Why is inhibition of xanthine oxidase an effective treatment for gout?
Hypoxanthine and xanthine are 4 - 5-times more soluble than sodium urate in plasma, meaning that they are very much less likely to form crystals. Since they will be filtered in the glomerulus, and since unlike uric acid they are not actively reabsorbed, they will be excreted in the urine.
In most mammals, uric acid is not the end-product of purine metabolism, but is metabolised onwards to allantoin and allantoic acid, both of which are very much more soluble than uric acid. It is only in animals that have lost uric acid oxidase (human beings and other primates) that gout is a problem.
Can you think of an evolutionary advantage for the active reabsorption of uric acid in the kidney, so that human beings normally maintain a plasma concentration of urate that is close to the limit of solubility, and hence close to the concentration at which gout will develop?
The diagram below shows that uric acid can be converted to allantoin non-enzymically by reaction with superoxide and other oxygen radicals. Indeed, uric acid is one of the major radical trapping antioxidants in the bloodstream.

This suggests that maintaining a high blood concentration of uric acid provides valuable protection against oxygen radical damage to tissues and plasma lipoproteins, which can lead to cancer, atherosclerosis and auto-immune diseases.
The de novo synthesis of purines
Click here to see the pathway for the de novo synthesis of purines.
THF is tetrahydrofolic acid, the folic acid derivative that is important for transfer of one-carbon units in a variety of metabolic pathways.
Click here to see the onward metabolism on IMP to AMP and GMP.
The first committed step of the pathway is the reaction of phosphoribosyl pyrophosphate (PRPP) with glutamine to form phosphoribosylamine, catalysed by PRPP amidotransferase. As you would expect, this enzyme is subject to feedback inhibition by purine nucleotides (AMP, GMP and their analogues).
The onward reactions from inosine monophosphate to AMP and GMP are also subject to feedback inhibition by their end-products. Adenylosuccinate synthase is inhibited by AMP, and IMP dehydrogenase is inhibited by GMP.
Mercaptopurine
is a synthetic purine analogue that is a substrate for hypoxanthine-guanine
phosphoribosyltransferase (HGPRT), the enzyme that is involved in purine salvage. The product is a purine nucleotide analogue. (Click here to see the pathway of purine salvage)
Can you explain why mercaptopurine is a useful anti-cancer agent?
Rapidly dividing cells, such as cancer cells, have a very high requirement for purine (and pyrimidine) nucleotides for DNA synthesis.
The mercaptopurine nucleotide will inhibit all three steps in the de novo synthesis pathway that are subject to end-product inhibition by purine nucleotides: PRPP amidotransferase, adenylosuccinate synthase and IMP dehydrogenase. This will starve the tumour cells of purine nucleotides and so slow growth of the tumour.
Click to see these steps highlighted in the purine synthesis pathway (there are two diagrams in this file - scroll down to see the second half)