Metabolism
on-line - the virtual tutorial room
copyright © 2008 - 2014 David A Bender
A severe sunburn-like rash and unusual urinary metabolites
At the age of 12 Eddie H was referred to the Paediatric out-patient clinic at the Middlesex Hospital in early June, suffering from a severe sunburn-like red scaly rash on exposed areas of his skin. His mother said that she thought he was suffering from pellagra. (His oldest sister, now aged 20, had been treated for pellagra some 10 years ago.)
At the time he had a number of neurological signs that are not characteristic of pellagra. He had an unsteady gait, jerky arm movements and intention tremor. He also showed nystagmus and complained of double vision. His mother stated that several times during childhood he had suffered similar attacks, usually associated with the common winter-time illnesses such as flu, measles and mumps. He had always made a complete recovery after such attacks, which had not been associated with the pellagra-like rash.
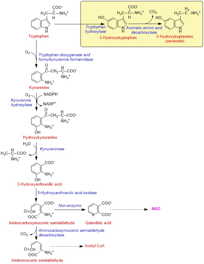
Pellagra is due to a deficiency of the vitamin niacin (nicotinamide and / or nicotinic acid), which forms the nicotinamide ring of NAD and NADP. An alternative source of the nicotinamide ring of NAD and NADP is the amino acid tryptophan. Under most conditions the main source of the nicotinamide ring of NAD is synthesis from tryptophan rather than utilisation of performed niacin from the diet.

See the pathway of tryptophan metabolism below, and click here to download a printable version of the pathway

A diet history obtained by the dietitian showed that Eddie had a normal,
and apparently adequate, intake of tryptophan and niacin. Therefore dietary
deficiency seemed improbable.
Preliminary studies revealed a high concentration of free amino acids in his urine; further investigation using an amino acid analyser gave the results shown in the graph below
