Metabolism
on-line - the virtual tutorial room
copyright © 2008 - 2015 David A Bender
Fasting hypoglycaemia in an infant - and poor exercise tolerance in two brothers
LR is a 16 month old baby, who was born at term after an uneventful pregnancy. Until she was 15 months old she had been fed every 3 - 4 hours, and never slept though the night, but woke every 3 - 4 hours, demanding to be fed.
At 15 months of age she slept through the night for the first time, and was found at 6 am in a generalised tonic-clonic seizure, which might suggest epilepsy. On admission to hospital a blood sample was taken; her plasma glucose was 1.5 mmol /L (the reference range for a fasting infant is 3.9 - 6.1 mmol /L), and a urine dipstick test showed the presence of a high concentration of ketone bodies.
What is the most likely cause of her seizure?
Almost certainly the very low plasma concentration of glucose. After a normal overnight fast her plasma glucose is as low as might be expected after several days of starvation, and you would not expect a very high level of ketone bodies in the urine after an overnight fast.
One possible cause of her abnormally low fasting plasma glucose would be an excessive and inappropriate secretion of insulin, but when her plasma insulin was measured it was at an appropriate level for her plasma glucose concentration in both the fed and fasting states.
She suffered a further seizure a few weeks later, again when she had slept through the night, and had not woken demanding to be fed.
Her blood
glucose and lactate were measured at intervals for 7 hours after feeding, and
for a further 2.5 hours after breakfast. After 3 hours of fasting she was given
0.36 mg of glucagon intravenously.
The results in the fasting state are shown on the right (from data reported by Rutledge SL et al. Pediatrics 108 495-7 2001).
What effect would you expect an injection of glucagon to have on plasma glucose in the fasting state?
Glucagon has two key actions:
stimulation of glycogen breakdown in the liver to release glucose
stimulation of gluconeogenesis from amino acids
Therefore you would expect to see an increase in plasma glucose. However, LR shows only a minute increase in plasma glucose after an injection of glucagon that would have been expected to lead to a considerable increase.
On another occasion she was given an injection of adrenaline instead of glucagon. Again there was no significant increase in her plasma concentration of glucose.
What conclusions can you draw from these results?
Adrenaline would also be expected to raise blood glucose, again by stimulating breakdown of liver glycogen.
This suggests several possibilities:
She may be unable to mobilise liver glycogen because of defects in her adrenaline and glucagon receptors. This is unlikely, since it is unlikely that two different hormone receptors would both be defective.
She may be unable to mobilise liver glycogen because of a defect in the downstream signalling from her adrenaline and glucagon receptors - both hormones act via a cyclic AMP second messenger system, so a defect in responses to cyclic AMP is a possibility.
How might you test this?
You could measure plasma non-esterified fatty acids. The concentration will increase in response to adrenaline, which stimulates hormone-sensitive lipase in adipose tissue. When this was done, her response to adrenaline was normal, suggesting that the problem is not in the downstream signalling in response to the hormones.
The remaining possibilities are that:
She is unable to synthesise glycogen because of lack of one or other of the enzymes involved in glycogen synthesis.
She is unable to break down glycogen and release glucose because of lack of one or other of the enzymes involved in glycogen breakdown.
What would you expect to observe in someone who could synthesise glycogen but not break it down?
In someone who can synthesise glycogen but not break it down, you would expect to see accumulation of glycogen in the liver, to such an extent that her liver would be enlarged and readily palpable. There is no indication that her liver is enlarged.
In
a further study her plasma glucose and lactate were measured after a breakfast
of milk and cereal with sugar; 2 hours after breakfast she was again given an
intravenous injection of 0.36 mg of glucagon
You would not expect plasma glucose to rise above about 8 mmol /L in an infant after a normal small breakfast.
What conclusions can you draw from these results?
Normally, in response to insulin after a meal you would expect much of the glucose entering from the gut to be taken up by the liver and used for glycogen synthesis, so that there is only a modest rise in plasma glucose. The very high plasma glucose suggests that this is not happening.
More significantly, the increase in plasma lactate after a meal suggests that glucose is being metabolised, but largely by anaerobic glycolysis.
The response to glucagon is an increase in plasma glucose, but largely at the expense of lactate, suggesting that she is able to convert lactate to glucose, but cannot synthesise glycogen from that glucose.
In a further study she was given an oral dose of 1 g of galactose /kg body weight after an overnight fast. Galactose is phosphorylated to galactose 6-phosphate by hexokinase, and can then be isomerised to glucose 6-phosphate. This may be metabolised or may be used to synthesise glycogen.
Plasma
glucose, lactate and ketone bodies were measured, as shown in the graph on the
right. (From data reported by Aynsley-Green A et al. Arch Dis Childhood 52:
573-9 1977)
What conclusions can you draw from these results?
She is obviously able to metabolise galactose, and use it as a source of glucose. The fall in plasma ketone bodies is presumably the result of inhibition of ketogenesis as a result of the increase in plasma glucose.
Again she seems to be able to metabolise galactose, but with production of much lactate. As previously this suggests that she is unable to synthesise glycogen.
At this stage in the investigation it would probably be appropriate to perform liver and muscle biopsies to measure glycogen, and glycogen synthase, the key enzyme of glycogen synthesis.
Why do you think this should be done a couple of hours after a meal?
Glycogen is synthesised in the fed state and utilised in the fasting state, so in the fasting state there might be very little glycogen present anyway.
The results obtained were as follows:
glycogen (g /100 g tissue) |
glycogen synthase (µmol
glucose incorporated /min /g tissue) |
|||
LR |
control subjects |
LR |
control subjects |
|
| liver | 0.65 |
2.0 - 6.0 |
0.04 |
1.99 - 3.60 |
| muscle | 0.76 |
0.72 - 0.75 |
1.71 |
1.51 - 1.85 |
(From data reported by Aynsley-Green A et al. Arch Dis Childhood 52: 573-9 1977)
What conclusions can you draw from these results?
Her problem is obviously very low activity of glycogen synthase in her liver, so that in the fed state she cannot build up reserves of glycogen to maintain blood glucose in the fasting state. This means that after an overnight fast she is profoundly hypoglycaemic and has an abnormally high plasma concentration of ketone bodies.
Interestingly, her muscle glycogen synthase is within the normal range, and she has a normal level of muscle glycogen.
What conclusion can you draw from this?
This suggests that liver and muscle glycogen synthase are different enzymes, coded for by different genes.
How might you investigate whether this is a genetic defect in her liver glycogen synthase?
One way would be to look for any other affected individuals in her family and see whether there is a clear pattern of inheritance. In this case there are no affected relatives.
The alternative approach would be to take liver biopsy samples from her parents and measure glycogen synthase. Since they are unaffected, if the condition is genetic then LR must be homozygous for defective glycogen synthase, and they must be heterozygous, and would be expected to have about half the normal activity of the enzyme in their livers.
The pathway of glycogen synthesis is shown below. Note that UTP is equivalent to ATP, so that for each mol of glucose added to glycogen there is a cost equivalent to 2 x ATP.

What do you think is the significance of the reaction of pyrophosphatase, which hydrolyses the pyrophosphate released by uridyl transferase to 2 mol of inorganic phosphate?
This is a fairly common occurrence in metabolism - pyrophosphatase removes pyrophosphate, one of the products of the uridyl transferase reaction, so that it not available to undergo the reverse reaction. This means that the reaction of uridyl transferase is irreversible under normal conditions.
The importance of this is that, as you will see in later exercises, glycogen synthesis and utilisation are closely regulated, and as we have seen in the exercise on Breathless after sprinting, it is common to have irreversible steps in pathways that are regulated reciprocally.
Lack of glycogen synthase is one of a number of disorders of glycogen metabolism that are collectively known as glycogen storage diseases. This is classified as glycogen storage disease type 0a (affecting the liver).
- and poor exercise tolerance in two brothers
MA and BA are brothers; their parents are first cousins. All their lives they have been unable to keep up with their friends in sport and other physical activity, because they have tired very easily. When MA was 10½ years old he collapsed in the school playground as a result of cardiac arrest, and could not be resuscitated. At post-mortem his heart was found to weigh 200 g (the normal range for a boy of his age is 139 - 178), and his left ventricular wall was 1.7 cm thick (the normal value is < 0.9 cm). The cause of death was listed as hypertrophic cardiomyopathy.
Two years after his brother's death, when he was 11 years old, BA was investigated. Electrocardiography and echocardiography showed flattening of the T-wave and mild generalised hypertrophy of the left ventricle, as well as left atrial enlargement and mildly impaired diastolic function at rest.
He was subjected to exercise tests on a treadmill. In the first the exercise started at a work load of 30 watts, both the speed of the treadmill and the angle of inclination were increased, so as to increase the work required by 10 watts per minute. He was able to continue this for 3.5 minutes, but then gave up due to leg fatigue.
BA |
normal value or range |
|
| workload (W /kg body weight) | 1.8 |
> 3.0 |
| peak heart rate (beats /min) | 200 |
> 190 |
| systolic blood pressure (mm Hg) | increase from 105 to 115 |
increase > 25 |
| peak plasma lactate (mmol /L) | 3.1 |
> 5.0 |
(From data reported by Kollberg G et al. New England Journal of Medicine 357: 1507-14 2007)
What conclusions can you draw from these results?
Where has the lactate come from in this vigorous exercise?
BA has poor exercise tolerance and a low workload; his peak heart rate during exercise is within the normal range, but he is unable to increase his blood pressure as much as normal, suggesting impaired cardiac function.
As we saw in the exercise on Breathless after sprinting, in maximum exertion muscle metabolises relatively anaerobically, putting out lactate which is used in the liver for gluconeogenesis. Some of the glucose that is metabolised in muscle comes from blood glucose, but much comes fm muscle glycogen.
In the second exercise test the work required was increase more gradually, at a rate of 5 watts every 3 minutes . He was able to continue this for 10.5 minutes, but then gave up due to leg fatigue and a drop in blood pressure.
BA |
normal value or range |
|
| workload (W /kg body weight) | 1.2 |
> 3.0 |
| heart rate response (beats /min) | 180 at 3 min of 0.8 W /kg |
< 150 |
6 min plateau at 155 |
steady increase |
|
166 at peak exercise |
> 190 |
|
| systolic blood pressure (mm Hg) | decrease from 115 to 80 |
increase > 25 |
| peak respiratory quotient (CO2 : O2) | 0.86 |
1.0 |
| maximum oxygen uptake (mL /kg body weight /min) | 30 |
> 45 |
| exercise echocardiography, stroke volume | 30% decrease |
increase > 10% |
(From data reported by Kollberg G et al. New England Journal of Medicine 357: 1507-14 2007)
What conclusions can you draw from these results?
What does the value of RQ suggest?
Again we have evidence of impaired cardiac function, with an inability to maintain blood pressure, and a decreased stroke volume during exercise.
AN RQ of 0.86 suggests that he is metabolising a relatively large amount of fatty acids - when fatty acids are the main fuel being metabolised RQ = 0.707; when carbohydrate is the main fuel being metabolised RQ is close to 1 (as it is in the control subjects).
Together with the low peak concentration of lactate recorded in the ramp protocol this suggests that his muscle has impaired ability to metabolise carbohydrate in exercise (when much comes from muscle glycogen) and is reliant on fatty acid oxidation to meet ATP needs.
We have already seen that oxygen uptake into muscle limits the extent to which it can metabolise fatty acids in vigorous exercise, and that in prolonged fasting fatty acids cannot meet all of muscle needs for ATP (which is why the liver synthesises ketone bodies in prolonged fasting, to provide an alternative fuel for muscle). We can therefore conclude that BA's poor exercise tolerance is the result of either:
not being able to mobilise muscle glycogen reserves
not being able to synthesise muscle glycogen reserves
A biopsy showed that he had negligible muscle glycogen, and an increase in the proportion of oxidative (red) muscle fibres, with fewer white (glycolytic) fibres. The activity of glycogen synthase in his muscle was extremely low.
It is likely that his impaired cardiac function is the result of a lack of glycogen in the heart - knock-out mice that lack muscle glycogen synthase also suffer from cardiac enlargement and impaired cardiac function. (Knock-out mice are genetically modified animals in which a specific gene has been deleted in order to study the effects, to understand human diseases).
Why do you think both BA and the glycogen synthase knock-out mice show cardiac enlargement?
This is hypertrophy - increase in cell size, in an attempt to maintain blood pressure and stroke volume. In the exercise on Life-threatening acidosis in an alcoholic - and in a hunger striker given intravenous glucose we saw that in response to vasodilatation there is cardiac enlargement in an attempt to maintain blood pressure. In this case the problem is not vasodilatation, but impaired work capacity of cardiac muscle, as a result of a lack of glycogen in the heart.
We saw in the case of LR that after a meal she became hyperglycaemic, because of the failure to synthesise glycogen in the liver, which provides one of the main ways of trapping the relatively large amount of glucose coming in from the diet. Equally, after an overnight fast she became profoundly hypoglycaemic and had a high plasma concentration of ketone bodies, because she had no liver reserves of glycogen that could be used to release glucose.
By contrast, BA showed a normal glucose tolerance curve (i.e. he was able to cope normally with a dose of 1 g of glucose /kg body weight) and his fasting blood glucose was within the normal range.
What conclusions can you draw from these results?
Although the total amount of glycogen in muscle is greater than that in liver, these two pools of glycogen have very different functions.
Liver glycogen is stored in the fed state to provide a source of glucose for other tissues in the fasting state.
Muscle glycogen (in skeletal and cardiac muscle) is primarily a reserve of glucose for metabolism in the muscle itself.
We have to assume that in the absence of muscle glycogen synthase, liver synthesis of glycogen, and possibly also synthesis of fatty acids in adipose tissue, can dispose of the incoming glucose adequately, so that there is no hyperglycaemia.
The diagram below shows the breakdown of glycogen - cleavage of glucose residues form glycogen by inorganic phosphate to yield glucose 1-phosphate, which is isomerised to glucose 6-phosphate.

Muscle does not have glucose 6-phosphatase, but liver does.
What conclusions can you draw from this information?
The fact that muscle does not have glucose 6-phosphatase means that it cannot release glucose in the fasting state. Therefore, since liver glycogen synthesis is normal in AB, the fact that he has no muscle glycogen does not affect his ability to maintain a normal blood concentration of glucose in the fasting state.
You will see in a later exercise that muscle glycogen can indirectly provide a substrate for gluconeogenesis in the liver, and so can help to maintain blood glucose in the fasting state.
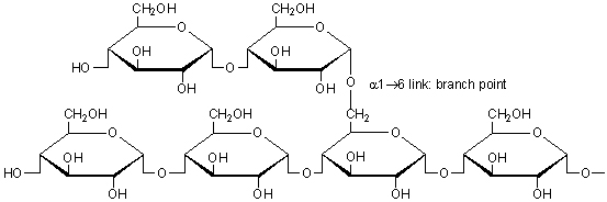
So far we have seen how the 1-4
links of glycogen are formed by stepwise addition of glucose units from UDP-glucose.
However, glycogen is a highly branched molecule, with branch points formed by
1-6 glycoside links.

What are the advantages of the branched structure of glycogen?
Because of its branched structure, glycogen traps a considerable amount of water within the molecule. This means that it is soluble. Large straight chains of glucose polymers would have a very low solubility.
Perhaps more importantly, branching means that for any one glycogen granule there will be a large number of end points at which glycogen phosphorylase can act to release glucose 1-phosphate.This is important for both liver and muscle:
In response to adrenaline stimulus the liver releases a large amount of glucose in a short time - within a few seconds of adrenaline secretion in response to fear or fright, the plasma concentration of glucose will rise by several mmol /L.
In muscle there is similarly a need for rapid release of glucose 1-phosphate from glycogen in response to stimulation to contract.
Similarly, there is a need for rapid glycogen synthesis in the fed state, especially in the liver, where half of the glucose coming into the liver from the gut in the hepatic portal vein is trapped as glycogen before the blood leaves the liver through the vena cava. The presence of many ends of the molecule at which glycogen synthase can act permits very rapid glycogen synthesis.
What consequences would you expect to see in a child with a defect of glycogen branching?
The classical form of the disease, known as glycogen storage disease type IV, was originally described as "familial cirrhosis of the liver with storage of abnormal glycogen". It commonly presents within the first 18 months of life, with failure to thrive, enlargement of the liver and development of liver cirrhosis. This progresses to portal hypertension and liver failure, leading to death by the age of 5 years. Liver biopsy or post-mortem histology shows the accumulation of atypical glycogen granules with few branch points and long straight outer branches.
Depending on the extent to which branching is affected, the condition may be more benign , with liver dysfunction but not leading to cirrhosis and not requiring liver transplant. When the nervous system and muscles are affected the condition may be fatal at an earlier age.
This leads us to consider how the branch points are introduced into glycogen.
The mould Neurospora crassa synthesises glycogen that is similar to human glycogen. Incubation of amylose, the linear form of starch, consisting only of glucosyl units linked 1-4, with an enzyme fraction isolated from N. crassa leads to the formation of a branched polymer that resembles glycogen.
What conclusions can you draw from this observation?
This suggests that the branch points in glycogen are not formed by transfer of a glucosyl unit form UDP glucose onto carbon-6 rather than carbon-4, as occurs in the reaction catalysed by glycogen synthase, but rather that the enzyme that forms the branch point cleaves a small chain of 1-4-linked glucosyl units from the linear chain and transfers it intact onto carbon-6.
We now know that the human branching enzyme acts in the same way. When the growing 1-4-linked chain is at least 11 glucosyl units long it transfers a chain of at least 6 glucosyl units from the end of the molecule onto a neighbouring chain at carbon-6, to form a new branch point.
Summarise the key points of this exercise